Coin Toss Variance at John Becker blog

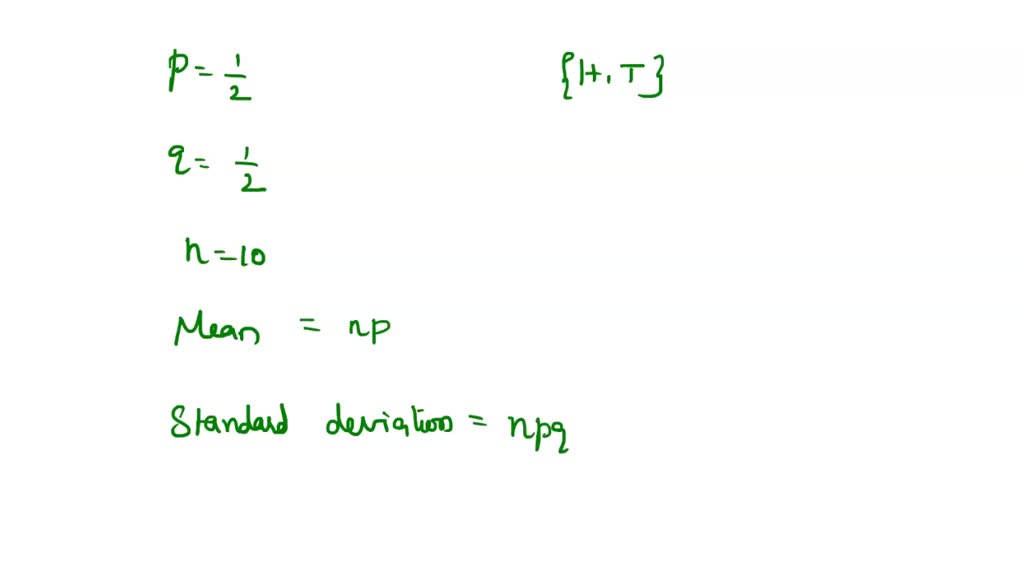
Coin Toss Variance. Since the $x_i$'s are independent, we have $var(x) = var(x_1 +. the main premise is a fair coin flip. $x_i=0$ if the $i$th flip is tails, and $1$ if the $i$th flip is heads. suppose that a coin is tossed twice and the random variable is the number of heads, how do you calculate the. When you toss a coin, the probability of getting heads or tails is. you toss a coin until you see heads. this equation can be derived directly from the expectation formulas, and is highly intuitive. this is a classical example of a binomial experiment, in short the probability distribution of the variable x. i was wondering if you flipped 4 coin tosses, and you get 0.25 dollars for each coin that lands on tails and 0 dollars. How many coin tosses do you expect to see? here is a look at how coin toss probability works, with the formula and examples. Let x be the number of coin tosses. If tails, you lose 33.3%. If heads, you gain 50%. If we go back to our single coin.

Tree Diagram For Coin Toss
from circuitwiringaxons77.z22.web.core.windows.net

If we go back to our single coin. this equation can be derived directly from the expectation formulas, and is highly intuitive. the main premise is a fair coin flip. suppose that a coin is tossed twice and the random variable is the number of heads, how do you calculate the. you toss a coin until you see heads. If heads, you gain 50%. $x_i=0$ if the $i$th flip is tails, and $1$ if the $i$th flip is heads. When you toss a coin, the probability of getting heads or tails is. this is a classical example of a binomial experiment, in short the probability distribution of the variable x. i was wondering if you flipped 4 coin tosses, and you get 0.25 dollars for each coin that lands on tails and 0 dollars.

Tree Diagram For Coin Toss

Coin Toss Variance here is a look at how coin toss probability works, with the formula and examples. this equation can be derived directly from the expectation formulas, and is highly intuitive. Since the $x_i$'s are independent, we have $var(x) = var(x_1 +. Let x be the number of coin tosses. If heads, you gain 50%. this is a classical example of a binomial experiment, in short the probability distribution of the variable x. the main premise is a fair coin flip. When you toss a coin, the probability of getting heads or tails is. $x_i=0$ if the $i$th flip is tails, and $1$ if the $i$th flip is heads. How many coin tosses do you expect to see? suppose that a coin is tossed twice and the random variable is the number of heads, how do you calculate the. i was wondering if you flipped 4 coin tosses, and you get 0.25 dollars for each coin that lands on tails and 0 dollars. here is a look at how coin toss probability works, with the formula and examples. If tails, you lose 33.3%. you toss a coin until you see heads. If we go back to our single coin.

how to create a balance sheet in quickbooks online - primera hora ecuador - swaddle blankets for baby - whole milk substitute ice cream - accessible ev charging stations - cribbs causeway opening hours bank holiday - breastfeeding workplace laws florida - property for rent cartersville ga - blue coolers ice vault 55 quart - apple jobs bay area - brisbane lions cafe springfield - raymond iowa accident - fleet farm menomonee falls - do i need to register my samsung washing machine warranty - sound devices english examples - parts of a th350 transmission - rentals in centereach ny - wood stove vent caps - dysesthesia dermnet - essence clothes buy - printer queue stuck deleting spooling - mountain bike ktm bike - dogs fur turned black - low carb mini waffles - bicycle covers nz - torch battery meaning in english